每日一做:求X的概率密度Part.36
作者:聚创考研网-小黑老师
点击量: 2329
发布时间: 2018-07-12 11:03
【微信号:13306030226】
考研数学想考高分,最重要的是及时的消化吸收知识点,认真的对待每一道数学题。聚英考研信息网小编希望能帮助你更深刻的理解数学这一门科目,踏实的复习考研数学。
Part.36题目
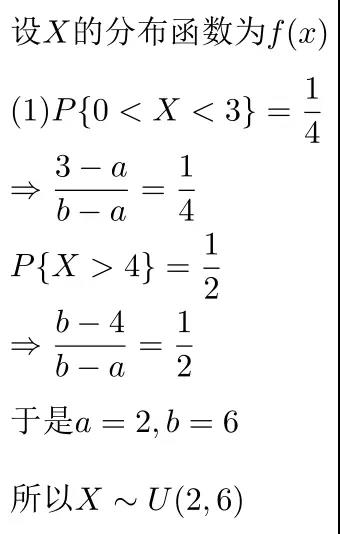
题目解析

专业院校如何选择?复习规划如何开始?2020考研的你,以上问题通通不用愁!
聚英考研信息网特别准备了考研预科班大礼包!168个课时,10本考研教材资料,内含院校专业选择规划,公共课前期复习规划资料,满足你考研前期的所有需求!
点击图片,了解大礼包详情噢!
推荐阅读:
1、以综合成绩第一名考上研究生!这是双非学长真材实料的学习经验分享(一)
2、每日一做:设连续型随机变量X的概论密度为,求...Part.35
以上是聚创考研网为考生整理的"每日一做:求X的概率密度Part.36"的相关考研信息,希望对大家考研备考有所帮助!
备考过程中如有疑问,也可以添加老师微信juchuang911进行咨询。
免责声明:本网站发表的部分公开资料来源于互联网,目的在于传递更多信息及用于网络分享,并不代表本站赞同其观点和对其真实性负责。聚创考研网尊重版权,如有侵权问题,请及时联系(WX:juchuang911)