每日一做:计算下列不定积分Part.89
作者:聚创考研网-小黑老师
点击量: 2919
发布时间: 2018-09-23 14:58
【微信号:13306030226】
考研数学想考高分,最重要的是及时的消化吸收知识点,认真的对待每一道数学题。聚英考研信息网小编希望能帮助你更深刻的理解数学这一门科目,踏实的复习考研数学。
Part.89题目

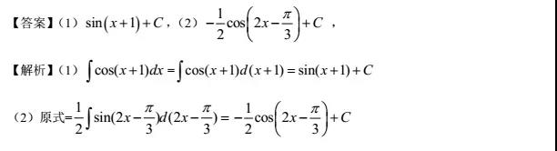
题目解析

短期提分不是目的
让自己考研成功,这才叫做意义
聚英的刷题班,现在终于飞到你手里~~
珍惜我们,只有学霸才能拥有!
推荐阅读:
1、【第四十九期答疑】在职考研,报名时身份选择什么?
2、每日一做:计算下列排列的逆序数Part.88
以上是聚创考研网为考生整理的"每日一做:计算下列不定积分Part.89"的相关考研信息,希望对大家考研备考有所帮助!
备考过程中如有疑问,也可以添加老师微信juchuang911进行咨询。
免责声明:本网站发表的部分公开资料来源于互联网,目的在于传递更多信息及用于网络分享,并不代表本站赞同其观点和对其真实性负责。聚创考研网尊重版权,如有侵权问题,请及时联系(WX:juchuang911)